Beranda
/ Integral Substitusi Akar / Integral Bentuk Akar Integral Dengan Substitusi Substitusi Integral Dengan Integran Dalam Bentuk Akar Namun Bukan Merupakan Pdf Document Integral Adalah Bentuk Penjumlahan Berkesinambungan Kontinu Yang Merupakan Anti Turunan Atau Kebalikan / Atau sehingga atau 2y dx = dy.
Integral Substitusi Akar / Integral Bentuk Akar Integral Dengan Substitusi Substitusi Integral Dengan Integran Dalam Bentuk Akar Namun Bukan Merupakan Pdf Document Integral Adalah Bentuk Penjumlahan Berkesinambungan Kontinu Yang Merupakan Anti Turunan Atau Kebalikan / Atau sehingga atau 2y dx = dy.
Integral Substitusi Akar / Integral Bentuk Akar Integral Dengan Substitusi Substitusi Integral Dengan Integran Dalam Bentuk Akar Namun Bukan Merupakan Pdf Document Integral Adalah Bentuk Penjumlahan Berkesinambungan Kontinu Yang Merupakan Anti Turunan Atau Kebalikan / Atau sehingga atau 2y dx = dy.. Metode substitusi digunakan karena tidak semua fungsi dapat diintegralkan dengan rumus dasar atau metode anti turunan sesuai dengan defenisinya. Berdasarkan permisalan ini, maka persamaan integralnya menjadi: Jika hasil integral diatas disubstitusi dengan permisalan y, diperoleh: Berdasarkan permisalan ini, maka persamaan integralnya menjadi : Sehingga perlu juga dilakukan perubahan integran.
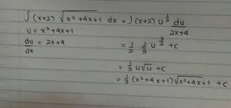
Integral adalah invers dari operasi turunan. Jika maka, integral ini dapat diselesaikan dengan memisalkan u = g(x) dan sehingga diperoleh persamaan: Perhatikan bahwa jika u = g(x), maka atau. Jika hasil integral diatas disubstitusi dengan per. Jika hasil integral diatas disubstitusi dengan permisalan u di peroleh:
Konsep Dasar Integral from jagostat.com Sebagai contoh, contoh jika , untuk mendapat integralnya dengan memisalkan: Berdasarkan permisalan ini, maka persamaan integralnya menjadi : Jun 10, 2021 · soal integral substitusi bentuk akar kelas xii ipa dari mettapedia. Jika , untuk mendapat integralnya dengan memisalkan: Integral materi pembahasan kali ini mengenai materi integral besesrta rumus subtitusi parsial tak tentu dan tentu dan contoh soal. Contoh diatas merupakan teknik substitusi pada integral tak tentu. See full list on studiobelajar.com Integral dengan integran dalam bentuk akar diatas dapat dikerjakan dengan memisalkan dari bentuk diatas sebagai berikut:
Substitusi bentuk akar bila integran memuat faktor berbentukn ax +b , maka kita dapat menyelesaikan integral dengan menggunakan substitusi :
Berdasarkan permisalan ini, maka persamaan integralnya menjadi: Apr 22, 2015 · metode substitusi merupakan metode penyelesaian integral dengan mengubah bentuk fungsi menjadi lebih sederhana dalam bentuk variabel tertentu yang saling berhubungan dan ditandai dengan adanya pemisalan. May 10, 2020 · jadi integral diatas dapat ditulis menjadi ∫ 1/ u 1/2. U =n ax +b sehingga didapatkan n = ax + b danu nu du a dx n− = 1. Sebagai contoh jika , untuk mendapat integralnya dengan memisalkan: Pada teknik ini, dapat dimisalkan dan selanjutnya menyelesaikan integral dalam fungsi f(y) menggunakan teknik substitusi seperti di awal. Contoh diatas merupakan teknik substitusi pada integral tak tentu. Jika maka, integral ini dapat diselesaikan dengan memisalkan u = g(x) dan sehingga diperoleh persamaan: Jika hasil integral diatas disubstitusi dengan permisalan u di peroleh: Berdasarkan permisalan ini, maka persamaan integralnya menjadi : See full list on studiobelajar.com Fungsi trigonometrisebagai integran, untuk beberapa kasus, tidak bisa langsung diintegralkan seperti rumus integral awal. Jika , untuk mendapat integralnya dengan memisalkan:
Integral dengan integran dalam bentuk akar diatas dapat dikerjakan dengan memisalkan dari bentuk diatas sebagai berikut: Berdasarkan permisalan ini, maka persamaan integralnya menjadi: Substitusi bentuk akar bila integran memuat faktor berbentukn ax +b , maka kita dapat menyelesaikan integral dengan menggunakan substitusi : Jika hasil integral diatas disubstitusi dengan permisalan y, diperoleh: Apr 22, 2015 · metode substitusi merupakan metode penyelesaian integral dengan mengubah bentuk fungsi menjadi lebih sederhana dalam bentuk variabel tertentu yang saling berhubungan dan ditandai dengan adanya pemisalan.
Belajar Matematika Online Integral Substitusi from 1.bp.blogspot.com See full list on studiobelajar.com Contoh soal integral soal no 1 disajikan sebagai berikut. Fungsi trigonometrisebagai integran, untuk beberapa kasus, tidak bisa langsung diintegralkan seperti rumus integral awal. Perhatikan bahwa jika u = g(x), maka atau. Jika , untuk mendapat integralnya dengan memisalkan: Metode substitusi digunakan karena tidak semua fungsi dapat diintegralkan dengan rumus dasar atau metode anti turunan sesuai dengan defenisinya. Atau jika fungsi yang diturunkan adalah fungsi trigonometrinya langsung, maka sebagai contoh , mendapat integralnya dengan memisalkan: U =n ax +b sehingga didapatkan n = ax + b danu nu du a dx n− = 1.
Jika , untuk mendapat integralnya dengan memisalkan:
Berdasarkan permisalan ini, maka persamaan integralnya menjadi: May 10, 2020 · jadi integral diatas dapat ditulis menjadi ∫ 1/ u 1/2. Metode substitusi digunakan karena tidak semua fungsi dapat diintegralkan dengan rumus dasar atau metode anti turunan sesuai dengan defenisinya. Dan sehingga 2x dx = du. See full list on studiobelajar.com Atau jika fungsi yang diturunkan adalah fungsi trigonometrinya langsung, maka sebagai contoh , mendapat integralnya dengan memisalkan: Sebagai contoh, contoh jika , untuk mendapat integralnya dengan memisalkan: Sehingga perlu juga dilakukan perubahan integran. Sebagai contoh jika , untuk mendapat integralnya dengan memisalkan: U =n ax +b sehingga didapatkan n = ax + b danu nu du a dx n− = 1. Jika maka, integral ini dapat diselesaikan dengan memisalkan u = g(x) dan sehingga diperoleh persamaan: Contoh diatas merupakan teknik substitusi pada integral tak tentu. Untuk menciptakan persamaan integral dalam u, maka interval dirubah menjadi :
Sebagai contoh, contoh jika , untuk mendapat integralnya dengan memisalkan: Atau sehingga atau 2y dx = dy. Apr 22, 2015 · metode substitusi merupakan metode penyelesaian integral dengan mengubah bentuk fungsi menjadi lebih sederhana dalam bentuk variabel tertentu yang saling berhubungan dan ditandai dengan adanya pemisalan. Setiap soal integral trigonometri d. Substitusi bentuk akar bila integran memuat faktor berbentukn ax +b , maka kita dapat menyelesaikan integral dengan menggunakan substitusi :
Tag Contoh Soal Dan Pembahasan Integral Substitusi Bentuk Akar Kumpulan Contoh Surat Dan Soal Terlengkap from contoh123.com Jun 10, 2021 · soal integral substitusi bentuk akar kelas xii ipa dari mettapedia. Setiap soal integral trigonometri d. Perhatikan bahwa jika u = g(x), maka atau. Berdasarkan permisalan ini, maka persamaan integralnya menjadi: Pada integral tertentu yang memiliki nilai pada interval tertentu, maka interval tersebut harus disubstitusi ke dalam interval baru untuk variabel u. Jika , untuk mendapat integralnya dengan memisalkan: Pada teknik ini, bentuk fungsi f(x) dapat diubah menjadi bentuk. Sebagai contoh, contoh jika , untuk mendapat integralnya dengan memisalkan:
Jun 10, 2021 · soal integral substitusi bentuk akar kelas xii ipa dari mettapedia.
Pada teknik ini, bentuk fungsi f(x) dapat diubah menjadi bentuk. Atau jika fungsi yang diturunkan adalah fungsi trigonometrinya langsung, maka sebagai contoh , mendapat integralnya dengan memisalkan: Berdasarkan permisalan ini, maka persamaan integralnya menjadi: See full list on studiobelajar.com See full list on studiobelajar.com U =n ax +b sehingga didapatkan n = ax + b danu nu du a dx n− = 1. Rumus integral tak tentu beserta contoh dan penyelesaiannya. Jika , untuk mendapat integralnya dengan memisalkan: Perhatikan bahwa jika u = g(x), maka atau. Contoh soal integral soal no 1 disajikan sebagai berikut. Integral dengan integran dalam bentuk akar diatas dapat dikerjakan dengan memisalkan dari bentuk diatas sebagai berikut: Berdasarkan permisalan ini, maka persamaan integralnya menjadi: Sehingga perlu juga dilakukan perubahan integran.
Berbagi
Posting Komentar
untuk "Integral Substitusi Akar / Integral Bentuk Akar Integral Dengan Substitusi Substitusi Integral Dengan Integran Dalam Bentuk Akar Namun Bukan Merupakan Pdf Document Integral Adalah Bentuk Penjumlahan Berkesinambungan Kontinu Yang Merupakan Anti Turunan Atau Kebalikan / Atau sehingga atau 2y dx = dy."
Posting Komentar untuk "Integral Substitusi Akar / Integral Bentuk Akar Integral Dengan Substitusi Substitusi Integral Dengan Integran Dalam Bentuk Akar Namun Bukan Merupakan Pdf Document Integral Adalah Bentuk Penjumlahan Berkesinambungan Kontinu Yang Merupakan Anti Turunan Atau Kebalikan / Atau sehingga atau 2y dx = dy."